快轉到主要內容
leetcode 124 - Binary Tree Maximum Path Sum

leetcode 124 - Binary Tree Maximum Path Sum

·
類別 
Leetcode
標籤 
Java Leetcode Hard DFS Problem Blind75
Eason Chiu
作者
Eason Chiu
一個不做筆記就容易忘記的工程師
目錄

題目
#

leetcode 124 - Binary Tree Maximum Path Sum (題目說明請點連結)

題目簡述
#

給定一個二元樹,找到其中的最大路徑和。路徑可以從任意節點開始,到任意節點結束,但必須是從父節點到子節點的連續路徑。

範例
#

Example 1:

Input: root = [1,2,3]
Output: 6
Explanation: 最佳路徑為 2 -> 1 -> 3,路徑和為 2 + 1 + 3 = 6。
Example1

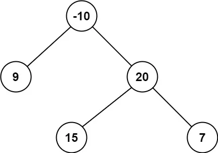
Example 2:

Input: root = [-10,9,20,null,null,15,7]
Output: 42
Explanation: 最佳路徑為 15 -> 20 -> 7,路徑和為 15 + 20 + 7 = 42。
Example2

解題思路
#

題目要求找到二叉樹中的最大路徑和。路徑可以從任意節點開始,到任意節點結束,但必須是從父節點到子節點的連續路徑。

解法
#

使用 深度優先搜索(DFS) 來解決:

  1. 對於每個節點,計算左子樹右子樹最大路徑和
  2. 如果子樹的路徑和為負數,則不選擇該子樹(設為0)
  3. 更新全局最大值:左子樹路徑和 + 右子樹路徑和 + 當前節點值。
  4. 返回以當前節點為根的最大路徑和(只能選擇左子樹或右子樹之一)

詳細步驟說明
#

        -10
       /    \
      9      20
            /   \
           15    7

步驟 1:遍歷節點 15

  • dfs(15) 調用 dfs(null)dfs(null),都返回 0
  • left = max(0, 0) = 0, right = max(0, 0) = 0
  • 更新 max = max(0 + 0 + 15, max) = 15
  • 返回 max(0 + 15, 0 + 15) = 15

步驟 2:遍歷節點 7

  • dfs(7) 調用 dfs(null)dfs(null),都返回 0
  • left = max(0, 0) = 0, right = max(0, 0) = 0
  • 更新 max = max(0 + 0 + 7, 15) = 15
  • 返回 max(0 + 7, 0 + 7) = 7

步驟 3:遍歷節點 20

  • dfs(20) 調用 dfs(15)dfs(7)
  • left = max(15, 0) = 15, right = max(7, 0) = 7
  • 更新 max = max(15 + 7 + 20, 15) = 42
  • 返回 max(15 + 20, 7 + 20) = 35

步驟 4:遍歷節點 9

  • dfs(9) 調用 dfs(null)dfs(null),都返回 0
  • left = max(0, 0) = 0, right = max(0, 0) = 0
  • 更新 max = max(0 + 0 + 9, 42) = 42
  • 返回 max(0 + 9, 0 + 9) = 9

步驟 5:遍歷根節點 -10

  • dfs(-10) 調用 dfs(9)dfs(20)
  • left = max(9, 0) = 9, right = max(35, 0) = 35
  • 更新 max = max(9 + 35 + (-10), 42) = max(34, 42) = 42
  • 返回 max(9 + (-10), 35 + (-10)) = max(-1, 25) = 25

最終結果:42

最佳路徑是 15 → 20 → 7,路徑和為 15 + 20 + 7 = 42。

完整程式碼
#

java
class Solution {
    // 全局變數,記錄最大路徑和
    int max = Integer.MIN_VALUE;
    
    public int maxPathSum(TreeNode root) {
        // 調用 DFS 遍歷整棵樹
        dfs(root);
        return max; // 返回全局最大值
    }

    /**
     * DFS 遍歷函數
     * @param root 當前節點
     * @return 返回以當前節點為根的最大路徑和(只能選擇左子樹或右子樹之一)
     */
    public int dfs(TreeNode root) {
        // 邊界條件:空節點返回 0
        if (root == null) {
            return 0;
        }

        // 遞歸計算左子樹的最大路徑和,如果為負數則不選擇(設為0)
        int left = Math.max(dfs(root.left), 0);
        // 遞歸計算右子樹的最大路徑和,如果為負數則不選擇(設為0)
        int right = Math.max(dfs(root.right), 0);
        
        // 更新全局最大值:左子樹路徑和 + 右子樹路徑和 + 當前節點值
        // 這代表經過當前節點的路徑(可以同時選擇左右子樹)
        max = Math.max(left + right + root.val, max);

        // 返回以當前節點為根的最大路徑和
        // 只能選擇左子樹或右子樹之一,加上當前節點值
        return Math.max(left + root.val, right + root.val);
    }
}

時間複雜度
#

  • 時間複雜度:O(n),其中 n 是二叉樹中的節點數
  • 空間複雜度:O(h),其中 h 是二叉樹的高度

相關文章

leetcode 104 - Maximum Depth of Binary Tree
類別 
Leetcode
標籤 
Java Leetcode Easy BFS Problem DFS Problem Tree Problem Blind75
leetcode 199 - Binary Tree Right Side View
類別 
Leetcode
標籤 
Java Leetcode Medium BFS Problem DFS Problem
leetcode 1 - Two Sum
類別 
Leetcode
標籤 
Java Leetcode Easy HashMap Problem Blind75